需要考试指导?资深讲师随时解惑!

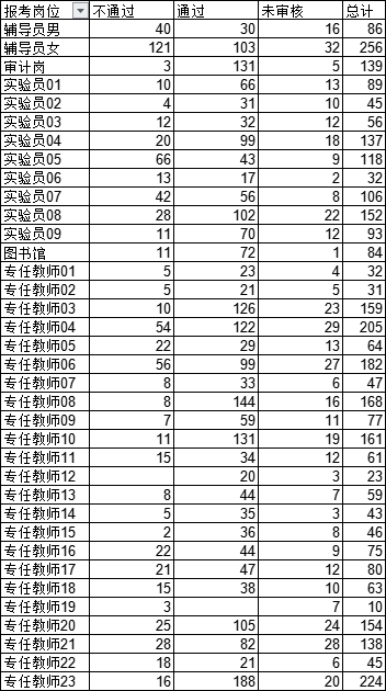
2025年潍坊科技学院公开招聘人员报名情况(截至2025年3月2日17:00)

奇小丫公考信息分享2025-03-03383
2025年潍坊科技学院公开招聘人员报名情况(截至2025年3月2日17:00)

原标题:2025年潍坊科技学院公开招聘人员报名情况(截至2025年3月2日17:00)

信息来源:http://wkwsbk.wfust.edu.cn/mobile/FrontNews/getNewsById?news_id=205


分享到:
「AD:奇小丫让你公考不迷茫✅ 名师针对性指导+量身定制学习提升方案,还有十大优势帮助你有效备考复习越来越好,针对性指导,就找奇小丫。联系奇小丫>
「声明:本站发布的招考资讯均来源于招录官方网站,由小编整理编辑,如遇报考疑问请咨询招考官方。若涉及版权或错误信息,请反馈本站予以更改或删除。立即反馈>